Multiplier Adder

MA3-400.png MA-tabel.png FA-SCH-400.png
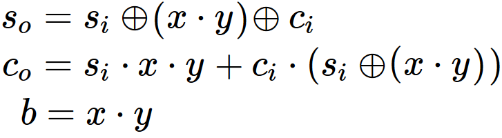
MA-formula.png