1957 - 1975
|
The core of this timeline is created from texts by Dave Kristula(1), March 1997; Hobbes Timeline and excerpts from the History of the Internet by C.J.P. Moschovitis e.a. Additional information has been gathered from various sites on the internet This first chapter discribes the birth of the internet technology ending with the first commercial form of ARPA's internet |
The existence of the internet is relatively short but the idea of networks is centuries old.
To get information quick from one place to another has allways been a vital element in commerce, warfare and sciences. And thus complete networks of routes, towers and the like were setup. How complicated these were depended on the general wealth of a certain kingdom, empire or company.
For long times communication was executed by couriers, runners (don't kill the messenger), semaphores, smoke signals and other means of sending messages over large distances.
Then came the internet and the world shrunk to the time it took to send a message from New York to Amsterdam.
Backbones: None - Hosts: None
Researchers
at the Bell labs invent the modem (modulator - demodulator). A modem converts
digital signals to electrical (analog) signals and back. Thus enabling communication
between computers. (8)
Leonard
Kleinrock, MIT: "Information
Flow in Large Communication Nets" (May 31) First paper on packet-switching
(PS) theory
RAND
Paul Baran, of the RAND Corporation (a government agency), was commissioned
by the U.S. Air Force to do a study on how it could maintain its command and
control over its missiles and bombers, after a nuclear attack. This was to be
a military research network that could survive a nuclear strike, decentralized
so that if any locations (cities) in the U.S. were attacked, the military could
still have control of nuclear arms for a counter-attack.
Baran's finished document described several ways to accomplish this. His final
proposal was a packet switched network.
"Packet switching is the breaking down of data into datagrams or packets
that are labeled to indicate the origin and the destination of the information
and the forwarding of these packets from one computer to another computer until
the information arrives at its final destination computer. This was crucial
to the realization of a computer network. If packets are lost at any given point,
the message can be resent by the originator."
J.C.R.
Licklider & W. Clark, MIT: "On-Line
Man Computer Communication" (August) Galactic Network concept
encompassing distributed social interactions
Backbones: None - Hosts: None
Paul
Baran, RAND: "On
Distributed Communications Networks" packet-switching networks; no
single outage point
ARPA
sponsors study on "cooperative network of time-sharing computers"
TX-2
at MIT Lincoln Lab and AN/FSQ-32 at System Development Corporation (Santa Monica,
CA) are directly linked (without packet switches) via a dedicated 1200bps phone
line. Lawrence G. Roberts was the project leader.
Digital Equipment Corporation (DEC) computer at ARPA later added to form "The
Experimental Network"
Ted
Nelson coins the term: "hypertext" and "hyperlink" to refer
to the structure of a computerized information system through which a user can
navigate "non sequentially". Or without a pre-structured search path,
ad libitum...(8)
Lawrence
G. Roberts, MIT: "Towards a Cooperative Network of Time-Shared Computers"
(October) First ARPANET plan
ARPANET
design discussions held by Larry Roberts at ARPA IPTO PI meeting in Ann Arbor,
Michigan (April)
ACM Symposium on Operating Principles in Gatlinburg,
Tennessee (October)
First
design paper on ARPANET published by Larry Roberts: "Multiple Computer
Networks and Intercomputer Communication
First
meeting of the three independent packet network teams (RAND, NPL, ARPA)
National
Physical Laboratory (NPL) in Middlesex, England develops NPL Data Network under
Donald Watts Davies who coins the term packet. The NPL network, an experiment
in packet-switching, used 768kbps lines
Andries van Dam of Brown University develops the first operational hypertext system. It serves as an early model for other hypertext environments.(8)
PS-network
presented to the Advanced Research Projects Agency (ARPA)
Request
for proposals for ARPANET sent out in August; responses received in September
University
of California Los Angeles (UCLA) awarded Network Measurement Center contract
in October
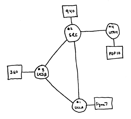
Bolt
Beranek and Newman, Inc. (BBN) awarded Packet Switch contract to build Interface
Message Processors (IMPs) BBN had selected a Honeywell minicomputer as the base
on which they would build the switch. The physical network was constructed in
1969, linking four nodes: University of California at Los Angeles, SRI (in Stanford),
University of California at Santa Barbara, and University of Utah. The network
was wired together via 50 Kbps circuits.
US
Senator Edward Kennedy sends a congratulatory telegram to BBN for its million-dollar
ARPA contract to build the "Interfaith" Message Processor, and thanking
them for their ecumenical efforts
Network
Working Group (NWG), headed by Steve Crocker, loosely organized to develop host
level protocols for communication over the ARPANET.
Tymnet
built as part of Tymshare service

Backbones: 50Kbps ARPANET - Hosts: 4

First
Request for Comment (RFC): "Host Software"
by Steve Crocker (7 April)
RFC 4: Network Timetable
First packets sent by Charley Kline at UCLA as he tried logging into SRI. The first attempt resulted in the system crashing as the letter G of LOGIN was entered. (October 29)

Univ of Michigan, Michigan State and Wayne State Univ establish X.25-based Merit network for students, faculty, alumni
First
publication of the original ARPANET Host-Host protocol: C.S. Carr, S. Crocker,
V.G. Cerf, "HOST-HOST Communication Protocol in the ARPA Network," in AFIPS
Proceedings of SJCC (:vgc:)
First
report on ARPANET at AFIPS: "Computer Network Development to Achieve Resource
Sharing" (March)
ALOHAnet,
the first packet radio network, developed by Norman Abramson, Univ of Hawaii,
becomes operational (July) connected to the ARPANET in 1972
ARPANET
hosts start using Network Control Protocol (NCP), first host-to-host protocol
First
cross-country link installed by AT&T between UCLA and BBN at 56kbps. This
line is later replaced by another between BBN and RAND. A second line is added
between MIT and Utah
15
nodes (23 hosts): UCLA, SRI, UCSB, Univ of Utah, BBN, MIT, RAND, SDC, Harvard,
Lincoln Lab, Stanford, UIU(C), CWRU, CMU, NASA/Ames
BBN
starts building IMPs using the cheaper Honeywell 316. IMPs however are limited
to 4 host connections, and so BBN develops a terminal IMP (TIP) that supports
up to 64 terminals (September)
Ray
Tomlinson of BBN invents the email program to send messages across a distributed
network. The original program was derived from two others: an intra-machine
email program (SENDMSG) and an experimental file transfer program (CPYNET) Ray
Tomlinson (BBN) modifies email program for ARPANET where it becomes a quick
hit. The @ sign was chosen from the punctuation keys on Tomlinson's Model 33
Teletype for its "at" meaning (March)
Larry
Roberts writes first email management program (RD) to list, selectively read,
file, forward, and respond to messages (July)
International
Conference on Computer Communications (ICCC) at the Washington D.C. Hilton with
demonstration of ARPANET between 40 machines and the Terminal Interface Processor
(TIP) organized by Bob Kahn. (October)
First
computer-to-computer chat takes place at UCLA, and is repeated during ICCC,
as psychotic PARRY (at Stanford) discusses its problems with the Doctor (at
BBN).
International
Network Working Group (INWG) formed in October as a result of a meeting at ICCC
identifying the need for a combined effort in advancing networking technologies.
Vint Cerf appointed first Chair. By 1974, INWG became IFIP
WG 6.1 (:vgc:)
Louis
Pouzin leads the French effort to build its own ARPANET - CYCLADES
RFC
318: Telnet specification
The
Advanced Research Projects Agency (ARPA) was renamed The Defense Advanced Research
Projects Agency (or DARPA)
ARPANET
was currently using the Network Control Protocol or NCP to transfer data. This
allowed communications between hosts running on the same network.
Development
began on the protocol later to be called TCP/IP, it was developed by a group
headed by Vinton Cerf from Stanford and Bob Kahn from DARPA. This new protocol
was to allow diverse computer networks to interconnect and communicate with
each other.
First
international connections to the ARPANET: University College of London (England)
via NORSAR (Norway)
Bob
Metcalfe's Harvard PhD Thesis outlines idea for Ethernet. The concept was tested
on Xerox PARC's Alto computers, and the first Ethernet network called the Alto
Aloha System (May)

Bob
Kahn poses Internet problem, starts internetting research program at ARPA. Vinton
Cerf sketches gateway architecture in March on back of envelope in a San Francisco
hotel lobby
Cerf
and Kahn present basic Internet ideas at INWG in September at Univ of Sussex,
Brighton, UK
SRI
(NIC) begins publishing ARPANET News in March; number of ARPANET users estimated
at 2,000
ARPA
study shows email composing 75% of all ARPANET traffic
Christmas
Day Lockup - Harvard IMP hardware problem leads it to broadcast zero-length
hops to any ARPANET destination, causing all other IMPs to send their traffic
to Harvard (25 December)
Backbones: 50Kbps ARPANET - Hosts: 23+
Vint
Cerf and Bob Kahn publish "A Protocol for Packet Network Interconnection" which
specified in detail the design of a Transmission Control Program (TCP). [IEEE
Trans Comm]
BBN
opens Telenet, the first public packet data service (a commercial version of
ARPANET)
First
Use of term Internet by Vint Cerf and Bob Kahn in paper on Transmission Control
Protocol.
Backbones: 50Kbps ARPANET - Hosts: 23+
Operational
management of Internet transferred to DCA (now DISA)
First
ARPANET mailing list, MsgGroup, is created by Steve Walker. Einar Stefferud
soon took over as moderator as the list was not automated at first. A science
fiction list, SF-Lovers, was to become the most popular unofficial list in the
early days
John
Vittal develops MSG, the first all-inclusive email program providing replying,
forwarding, and filing capabilities.
Satellite
links cross two oceans (to Hawaii and UK) as the first TCP tests are run over
them by Stanford, BBN, and UCL
"Jargon
File", by Raphael Finkel at SAIL, first released
Shockwave
Rider by John Brunner
![]()
| Last Updated on 19 March 2001 | For suggestions please mail the editors |
Footnotes & References
| 1 | davesite.com |
| 2 | 25th Anniversary of ARPANET |
| 3 | ARPANET and Beyond |
| 4 | How the Internet Came to Be |
| 5 | Hobbes' Internet Timeline by Robert H Zakon. |
| 6 | Revolution in the U.S. Information Infrastructure |
| 7 | Domain Name System |
| 8 | C.J.P.Moschovitis et all |